DAO
A Decentralized Democracy for a Transparent Web 3.0
Governance Flowchart

1. Introducing O3 DAO
O3 DAO is a decentralized autonomous organization where users are able to make proposals to help improve the user experience of O3 Swap and other O3 products. The DAO supports a wide range of ideas like voting on the new tokens and chains to be supported in O3 V2, adjusting the APRs of different pools or adding new pools outright. Users can also make proposals regarding website UI improvement, treasury management, and new features they’d like implemented.
The development team at O3 Labs is open to all possibilities provided that are popular in the community. Of course, there must be possibilities. We believe O3 DAO will become the cornerstone of O3 consensus where great ideas from the community can be developed and brought to life so users can grow with O3.
2. About $DAO3
$DAO3 is the governance token for the O3 DAO. All $DAO3 holders are able to vote on a proposal which may change the O3 protocol, and a voter needs to hold a certain amount of $DAO3 to propose a vote. Furthermore, $DAO3 can be used to propose more other utilities like unlocking rewards or accelerating the $O3 mining speed.
3. How to get DAO3 tokens
3.1 Phase I : Fair Launch (89 600 eth blocks ≈ 2 weeks)
During Phase I, users stake $O3 (eth) to get O3 NFTs (eth) wherein a percentage of the staked $O3 will be burned forever. The NFT mining level depends on the amount of burned $O3. Check your NFT’s mining levels here: Mining Ability.
Loyal users who value making changes to the protocol to suit their unique needs should consider burning a larger amount of $O3 to secure their influence.
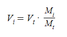
The first batch of $DAO3 supply (10m) will be distributed to users according to each user’s NFT mining ability.
Vt - $DAO3 total mining speed; Vi - each user’s mining speed; Mt - total mining ability count; Mi - each user’s mining ability.

4. How to vote
A proposal cycle starts every Monday at 12PM UTC when all the numbers (except for voting-result related numbers) will be read from a snapshot.
4.1 Poll (Discord)
The O3 governance channel in discord is the place for governance-related discussion among the community. All members here have the right to submit a poll as a temperature check for a potential proposal.
To submit a poll, the user has to select a template and provide required content to make a poll more understandable to the community and O3 Labs team. Other members can actively provide their personal opinions to perfect the content to better benefit the O3 community and O3 users.
A poll will be valid and available to be cited to propose a formal vote. If it eventually gets a certain amount of likes, then users can proceed to the next stage of formal voting.
Qp - threshold of a valid poll (likes amount) ; Cd - $DAO3 circulating amount; k2 - a tentative parameter
Poll content:
Title
Abstract
Reason & purpose
Detailed info & potential voting options based on different poll templates
Poll requirements:
Non price related, constructive suggestions.
Non insulting language.
Shall take into account the public interests and no biased or risky intention.
Shall not affect the normal operation of the O3 Labs
Must comply with local laws and regulations.
4.2 Propose a vote (O3 governance portal)
A proposer must hold a certain amount of $DAO3 before proposing a formal vote, and the proposal does not burn any $DAO3.
To submit a vote, the proposer has to select a proper template, cite a valid poll (each poll can be cited only once for each ongoing proposal) which contains the most detailed information about the formal vote, period of validity and all other required content and voting options should be clearly provided.
Proposal content:
Title
Cited poll # & link
Detailed info & voting options based on different vote templates
Proposal requirements:
The main purpose shall be detailed in the cited poll.
The options shall be included in the cited poll.
Avoid potential risk to protocol and users as much as possible.
Note: Each type of proposal has a limited number of times during one proposal cycle.
4.3 Vote (O3 governance portal)
All $DAO3 holders have the right to vote on the ongoing proposals.
A voter needs to decide how many $DAO3 tokens will be voted (the voted $DAO3 will be burned) to support an option, or multiple options. You can vote multiple times for one proposal if you changed your mind. These $DAO3 tokens indicate support or opposition to a proposal.
A proposal will be valid if it eventually reaches the quorum which refers to the $DAO3 burned amount in a proposal.
Qv - the quorum of a vote; k4 - a tentative parameter.
If the proposal fails to reach the quorum before it ends, then it will be closed and archived.
5. Reward
Once a proposal passes the quorum, no matter if it is approved or vetoed, all voters will be rewarded a certain amount of $O3. The reward amount is calculated based on the equations below:
Ri - user’s $O3 reward amount; Bi - each user’s $DAO3 burned amount in a proposal; Bo - user’s $O3 burned amount; k3 and k4 - tentative parameters.
Phase I:
6. Execute
When a proposal becomes valid, the execution of the proposal may be scheduled.
For a “yes/no” vote, the proposal will be executed if the affirmative vote exceeds 50%.
For a multi-choice vote, the most voted option will be executed.
Notice Period
A 2-day notice period starts right away when a proposal is approved.
During this period, users and the O3 Labs can value the potential risk and users can take measures to protect their assets.
When the notice period finishes, the execution starts.
7. Announcements
Each time a poll or a proposal is approved, there will be a public announcement in the O3 discord governance channel to inform all users.
When a proposal has been successfully implemented, there will be an official announcement from the O3 official twitter account.
Note: All parameters(k) will be disclosed once they have been tested. More details and DAO functionalities will be updated in this doc.
Last updated
Was this helpful?